(1)您的瀏覽器不支援javascript,但不影響網頁內容陳述,如開啟JavaScript,可得到視覺與特效的最佳瀏覽
(2)列印功能:請按下ctrl+P開啟列印視窗,或由工具列中選擇列印功能
(3)如需要選擇字級大小,IE6請利用鍵盤按住ALT鍵+ V → X → (G)最大(L)較大(M)中(S)較小(A)小,來選擇適合您的文字大小, 而IE7或Firefox瀏覽器則可利用鍵盤 Ctrl + (+)放大(-)縮小來改變字型大小,如需要回到上一頁可使用瀏覽器提供的 Alt+左方向鍵(←)
移至主要內容區
國立臺灣歷史博物館典藏網
:::
網站導覽
意見交流
我的蒐藏
0
搜尋開關
全站搜尋
官網
Language
English
日本語
한국어
藏品檢索
典藏查詢
藏品檢索
分類瀏覽
典藏精選
特色館藏
重要古物
一般古物
世界記憶國家名錄
熱門藏品
主題專區
臺灣與世界的25個見證
看得見的臺灣史
空間篇:30幅地圖裡的真實與想像
時間篇:30 件文物裡的日常與非常
人間篇:30件文物裡的人情與世事
藏品故事百寶箱
影音專區
典藏授權
申請說明
操作指南
開始申請
案件進度查詢
常見問答
文物捐贈
捐贈流程
我要捐贈
常見問答
典藏資源
Open Data
3D數位化
電子書
典藏網絡連結
典藏工作
典藏概況
典藏制度
文物典藏之旅
保存維護
典藏空間
典藏專欄
典藏出版
回首頁
典藏查詢
藏品資料
跳過此子選單列請按[Enter],繼續則按[Tab]
分享
facebook
line
plurk
twitter
友善列印
增加字級
減少字級
:::
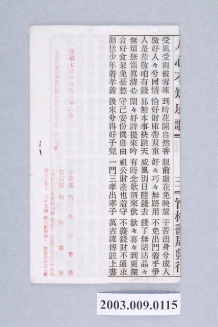
竹林書局出版《人心不知足歌》
10
意見回饋
加入蒐藏
點擊檢視本網站使用鍵盤操作相簿說明:
向上鍵:
照片選單顯示
向下鍵:
照片選單隱藏
向左鍵:
上一張照片
向右鍵:
下一張照片
ESC鍵:
離開相簿
申請授權
文物名稱
竹林書局出版《人心不知足歌》
登錄號
2003.009.0115
類別
圖書文獻類 > 書籍 > 生活娛樂
歷史分期
1965-(1965迄今)
推測年份
1987~1987
年份描述
民國76年
創作者/製造者
不詳
產地源始/製造地
不詳
材質
書籍
尺寸/重量
長度(X軸):8.9cm 寬度(Y軸):15.1cm 高度(Z軸):0.1cm 重量:7.2g
關鍵字
傳統戲曲、唸歌、歌本、勸善、警世、閩南語、台語
文物描述
人心不知足歌的內容勸戒人們要安分知足,榮華富貴乃天命所定,切勿強求不可起貪念,努力打拼仍有機會成富貴,體裁上屬於使用最多的七字一句,語言形式是使用閩南語。歌仔冊的由來是將傳統台灣戲曲藝術中的的「唸歌」以文字集結成冊印刷的出版品。竹林書局,現為竹林印書局。為一間台灣新竹的書店,除了一般書籍經營外也有五術書籍用品的販售。
參考資料
20/本
編目者
委託編目-國立臺灣師範大學臺灣語文學系
編目日期
2019/12/25
最後更新日期:
2025/07/17
回典藏查詢
TOP
0
藏品申請清單
目前無待申請授權藏品資料
查看授權申請
列表呈現最多10筆,可點選授權申請看更多