提醒您,本作業功能,會使用到javascript呈現作業過程的訊息提示或功能呈現,操作過程請開啟「使用javascript」功能。謝謝。
Remind you that this job function will use the message prompt of javascript rendering process, please open the "use javascript" function. Thank you.

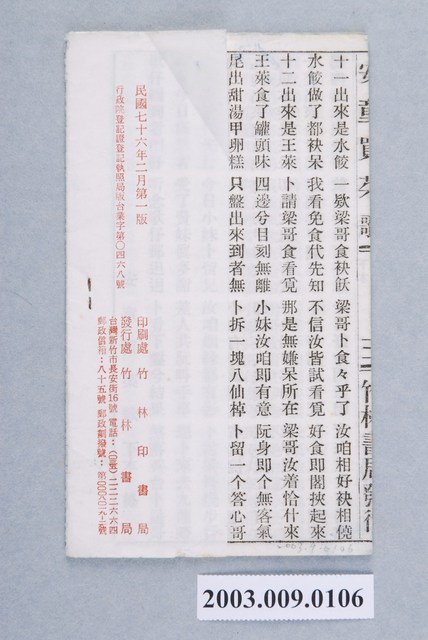
::: 竹林書局出版《安童買菜歌》

點擊檢視本網站使用鍵盤操作相簿說明:
  • 向上鍵:照片選單顯示
  • 向下鍵:照片選單隱藏
  • 向左鍵:上一張照片
  • 向右鍵:下一張照片
  • ESC鍵:離開相簿
文物名稱
竹林書局出版《安童買菜歌》
登錄號
2003.009.0106
類別
圖書文獻類 > 書籍 > 生活娛樂
歷史分期
1965-(1965迄今)
推測年份
1987~1987
年份描述
民國76年
創作者/製造者
不詳
產地源始/製造地
不詳
材質
書籍
尺寸/重量
長度(X軸):8.8cm 寬度(Y軸):15.1cm 高度(Z軸):0.2cm 重量:7.4g 
關鍵字
傳統戲曲、唸歌、歌本、民間傳說、閩南語、台語
文物描述
安童買菜歌的內容描述祝英台的母親請安童上市買菜,中途遇到仁心請託他購買胭脂水粉,在安童購買完祝母要求的雞鴨魚肉等物後,遇到了城隍廟前演戲的戲班,安童不禁看了三齣後才想著要回去,但途中經過賭博店,禁不起誘惑的安童便將仁心的錢拿去賭博,故事內容取自中國民間四大傳說之一的梁山伯與祝英台,內容為浙江女子祝英台女扮男裝至杭州讀書,在其中遇上了梁山伯,兩人在學習的過程中感情日漸深厚,但是梁山伯卻不知道祝英台為女兒身。後來祝英台中斷學業返家,梁山伯到祝英台家拜訪才知道真相,於是欲向祝英台提親,才發現她早已被許配給馬文才,最後梁山伯抑鬱而死。後來當祝英台出嫁時途經梁山伯墳墓,祝英台前往祭拜,這時梁山伯的墓突然裂開,祝英台跳入其中,飛出一對彩蝶離去。形式上使用長短句,語言形式是使用閩南語。歌仔冊的由來是將傳統台灣戲曲藝術中的的「唸歌」以文字集結成冊印刷的出版品。竹林書局,現為竹林印書局。為一間台灣新竹的書店,除了一般書籍經營外也有五術書籍用品的販售。
編目者
委託編目-國立臺灣師範大學臺灣語文學系
編目日期
2019/12/25
最後更新日期: 2025/07/17
TOP
0 藏品申請清單
  • 目前無待申請授權藏品資料
查看授權申請
列表呈現最多10筆,可點選授權申請看更多