提醒您,本作業功能,會使用到javascript呈現作業過程的訊息提示或功能呈現,操作過程請開啟「使用javascript」功能。謝謝。
Remind you that this job function will use the message prompt of javascript rendering process, please open the "use javascript" function. Thank you.

::: 社團法人臺灣山林會發行《臺灣的山林》第159號

文物名稱
社團法人臺灣山林會發行《臺灣的山林》第159號
外文名稱
臺灣の山林
登錄號
2003.007.0133
類別
圖書文獻類 > 雜誌期刊 > 史地
歷史分期
1926-1945(日本時代-昭和時期)
年份描述
昭和14年7月1日發行
創作者/製造者
社團法人臺灣山林會發行
產地源始/製造地
臺北
材質
書籍
尺寸/重量
長度(X軸):15.1cm 寬度(Y軸):22.2cm 高度(Z軸):0.3cm 重量:67.7g 
關鍵字
林業、造林、林產物、林政
文物描述
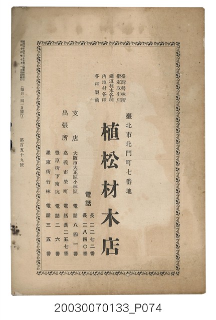
1. 本書為社團法人臺灣山林會發行的《臺灣的山林》,內容主要收錄了許多日本學者針對臺灣的山林地區、林業、公園事業、礦業等領域的研究發表文章。本書於昭和14年7月1日印刷及發行,為每月初發行的刊物;此為第159號。除了卷頭言:林道開始は刻下の急務,另外收錄了八篇文章:新竹州下に於ける民營廣葉杉──幼齡林の多角形的觀察、圖南產業會社の山を巡りて、施業上より見たる樺太國有林の變遷、愛林日林業振興座談會紀錄、虎尾郡耕地防風林造成保護品評會を觀て及カレソトトビツクス。其中也刊登了多則廣告,例如:天龍木材株式會社臺北支店、植松材木店、荒井商店、官公署村瀨鹿兒島出張所(優良種苗)等。
2. 本書原名為《臺灣山林會報》,最早發行於大正12年(1924),於第80期後更改為《臺灣の山林》。日治時期臺灣總督府為有效利用森林,於1925年實施了森林計劃,主要針對治水及國土保安。
參考資料
1. 台灣の山林,館藏日治時期出版圖書目錄,圖書文獻,臺灣記憶,國家圖書館,2018/09/25。
2. 林業與植樹,國立臺灣圖書館https://www.ntl.edu.tw/public/Attachment/91119914174.pdf (瀏覽日期:2018/09/25)。
編目者
委託編目-社團法人臺灣歷史學會02
編目日期
2019/07/31
最後更新日期: 2025/03/13
TOP
0 藏品申請清單
  • 目前無待申請授權藏品資料
查看授權申請
列表呈現最多10筆,可點選授權申請看更多