提醒您,本作業功能,會使用到javascript呈現作業過程的訊息提示或功能呈現,操作過程請開啟「使用javascript」功能。謝謝。
Remind you that this job function will use the message prompt of javascript rendering process, please open the "use javascript" function. Thank you.

::: 臺灣總督府鐵道部編《臺灣鐵道名所案內》

文物名稱
臺灣總督府鐵道部編《臺灣鐵道名所案內》
外文名稱
Railways Formosa 臺灣鐵道名所案內
登錄號
2002.003.0040
類別
圖書文獻類 > 書籍 > 生活娛樂
歷史分期
1895-1912(日本時代-明治時期)
推測年份
1908~1908
創作者/製造者
臺灣總督府鐵道部編
產地源始/製造地
臺灣總督府
材質
書籍
尺寸/重量
長度(X軸):12cm 寬度(Y軸):17.8cm 高度(Z軸):1.5cm 重量:211.5g 
關鍵字
交通、觀光、旅遊、旅行、縱貫線、土產、鐵路、火車
文物描述
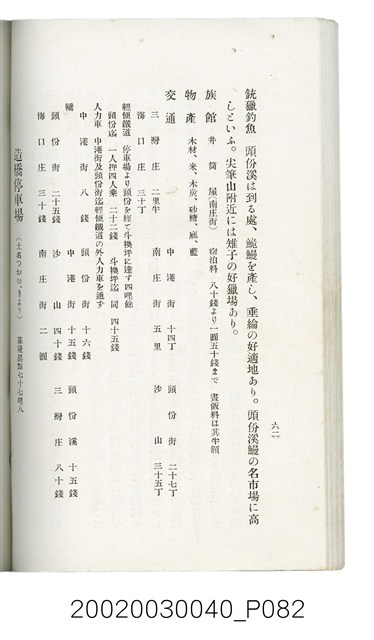
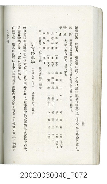
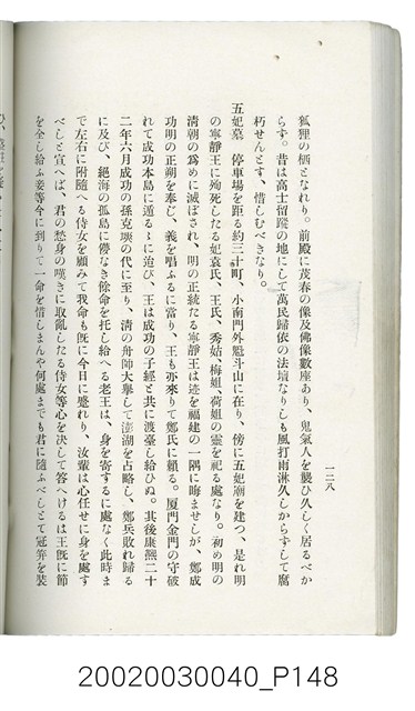
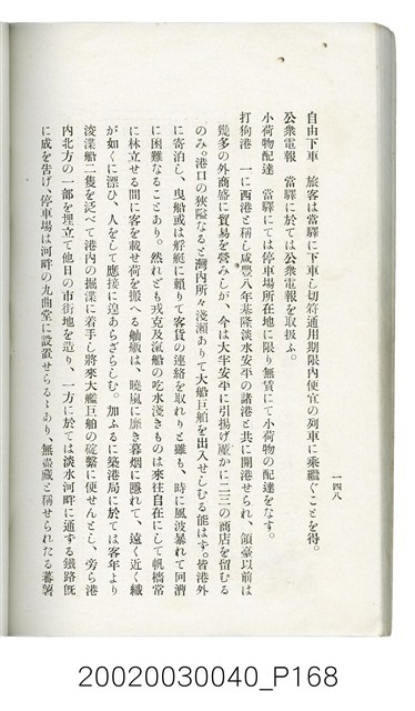
1.本書為「臺灣總督府鐵道部」所編纂。封面的右上角有Railways Formosa的英文標題,左邊有直式的《臺灣鐵道名所案內》的字樣,全書以日文撰寫。
2.1908年,臺灣西部縱貫線通車,這是總督府鐵道部出版的第一本圖文並茂的臺灣鐵道旅遊指南。其中詳細介紹了縱貫鐵道沿線各站的地理位置、周邊名勝、自然景觀、特產、旅館、飲食和交通資訊,並附上多幅以全景視角所拍攝的照片,例如:臺灣的花卉、北投溫泉、大甲溪鐵橋和水牛等。
參考資料
陳衍秀,帝國之眼中的國境之南:臺灣鐵道名所案內中的本島風景,臺灣文化研究網站,http://www.srcs.nctu.edu.tw/taiwanlit/issue3/4-1.htm(瀏覽日期:2018/07/17)。
編目者
委託編目-社團法人臺灣歷史學會02
編目日期
2019/07/29
最後更新日期: 2025/03/13
TOP
0 藏品申請清單
  • 目前無待申請授權藏品資料
查看授權申請
列表呈現最多10筆,可點選授權申請看更多